Como é feito o cálculo do parcelado com juros compostos?
1 min de leitura
Há duas configurações possíveis de cobrança de parcelado com juros compostos:
- Cobrança no início do período;
 - Cobrança no fim do período.
 
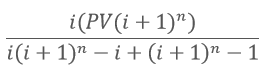
Início do período
A cobrança no início do período é calculada da seguinte forma:
- i = Taxa de Juros
 - n = Número de Parcelas
 - PV = Valor Presente (valor total da compra sem juros)
 - Parcela = 

 
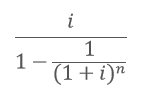
Fim do período
A cobrança no fim do período é calculada da seguinte forma:
- i = Taxa de Juros
 - n = Número de Parcelas
 - PV = Valor Presente (valor total da compra sem juros)
 - Multiplicador Cash Flow =

 - Parcela = 
PV x Multiplicador Cash Flow 
Exemplos
Início do Período
- i = 1%
 - n = 12
 - PV = 1000

 
Fim do Período
- i = 1%
 - n = 12
 - PV = 1000
 
