How do you calculate payments in installments with compound interest?
1 min read
There are two possible configurations for collecting installment payments with compound interest:
- Collection at the beginning of the period;
 - Collection at the end of the period.
 
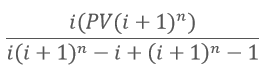
Beginning of the period
Collection at the beginning of the period is calculated as follows:
- i = Interest rate
 - n = Number of installments
 - PV = Present Value (total amount of the purchase without interest)
 - Installment = 

 
End of the period
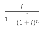
Collection at the end of the period is calculated as follows:
- i = Interest rate
 - n = Number of installments
 - PV = Present Value (total amount of the purchase without interest)
 - Cash Flow Multiplier =

 - Installment = 
PV x Cash Flow Multiplier 
Examples
Beginning of the period
- i = 1%
 - n = 12
 - PV = 1000

 
End of the period
- i = 1%
 - n = 12
 - PV = 1000
 
